Hearts of Iron 4 is a popular World War II strategy game that requires players to carefully plan and execute military operations. One of the keys to success in this game is to have well-designed division templates that can withstand enemy attacks and capture territory efficiently. In this article, we’ll explore some of the best division templates in Hearts of Iron 4, covering infantry, armor, and specialized units. Whether you’re a beginner or an experienced player, these templates will help you build a formidable army and dominate the battlefield. So, let’s dive in and discover the Hearts of Iron 4 Best Division Templates!
Table of Contents
Feb, 2024: We updated, Hearts of Iron 4 Best Division Templates!
You can also access our Hearts of Iron 4 Wiki page. Browse through the most powerful Hoi4 guides. Creating divisions is one of the most important aspects of Hearts of Iron IV. In this guide, you’ll be shown what division templates are best, supported by actual calculations. In addition, combat width, reliability and support companies are discussed in detail.
Hoi4 Best Division Templates
Updated for BBA: Plane designs now available! Creating divisions is one of the most important aspects in mastering Hearts of Iron IV. In this guide, you’ll be shown what division templates are the most optimal. In addition, combat width, reliability and support companies are discussed in detail.
The Basics of Creating a Division
To design a template, you will first need army xp to edit templates. Early in the game, army xp is earned by advisors, whereas typically most of your army xp comes from your divisions being in combat. This means it is wise to send volunteers to foreign wars in order to earn army xp! Wars you can send volunteers to are the Spanish Civil War and the (second) Sino-Japanese war. In addition, send an attaché to get some of the army XP the country you’re supporting earns.

To create a division, go to the tab ‘recruit and deploy’, then click “edit” on any division. This allows you to edit any division of your choice. To create a new one, click “duplicate”, choose a name for your division, then click “save”.

This division is set as ‘elite’; it will receive the newest equipment first and will always be supplied first.
Playing as the USSR, we only have a limited number of factories available with which to supply guns to our infantry divisions. This means our design should be cost-effective; we want to maximize the damage we deal relative to the damage we take. Note that as the USSR, we have more than enough manpower; factories are the limiting factor in building up the red army!
A quick summary on designing divisions:
- A division consists of 5 combat regiments and 5 support companies.
- A regiment (vertical column) can only hold batallions of its type (e.g. the ‘infantry’ category).
- It costs 5 army xp to add or remove a batallion, and 10 army xp for a support company.
Division Stats
The stats of a unit are displayed when editing a unit in the template designer, and the current stats of a division in the field can be inspected by clicking on their icon.

The game divides combat stats in 3 categories; Base stats, Combat stats and Equipment cost.
Base stats
- Organization: The health of your division. When this runs out, your unit will flee to a friendly province when being attacked, or stop their attack when attacking. Organization is regained over time.
- Max Speed: The speed at which your units move in the field. Typically, your unit’s actual speed is lower than this value. For example, if your unit walks through mountainous terrain, their speed will be reduced significantly. The Max Speed is determined by the slowest battalion in the division.
- Recovery rate: The speed at which you regain organization outside of combat.
- HP:Shows what percentage of equipment (and manpower; whichever is lowest) your division has left. The lost equipment and manpower will be automatically refilled using equipment from your stockpile, as long as you have any left. Note that for every 1 ORG lost in combat, 0.5 HP is lost. The same goes for damage taken by CAS.
- Supply use: Determines how much supply your units use. Units with insufficient supply will have their various stats reduced.
- Reliability: Tells you AVERAGE reliability of all equipment in division, which determines recovery rate. Attrition losses are determined by reliability; see the reliability section for more info.
- Reconnaissance: Your total recon value is equal to: total recon = (general skill level+recon). When your total recon is higher than the enemy’s, you have a chance to counter the enemy’s tactic. The effects of recon are very small in practice. See the list of tactics here: https://hoi4.paradoxwikis.com/Combat_tactics and Tactics Guide(Google doc).
- Exp. Loss: Determines the amount of xp a division loses when taking HP damage. When fighting, the amount of xp gained typically outweighs the amount of xp lost. Xp increases a unit’s soft attack, hard attack, defense and breakthrough by 25% (trained), 50% (veteran) and 75% (elite).
- Trickleback: Determines the amount of manpower that is regained when losing manpower.
- Weight: Determines the amount of convoys (transport ships) used when transporting troops over sea.
- Suppression: A stat that is only used by garrison battallions (not for deployed divisions). Cavalry has very high suppression values.
Combat Stats
- Hardness – Determines the ratio of damage that is taken from soft attacks and hard attacks.
- Soft attack – The amount of damage you deal to enemy divisions. Virtually all units have low hardness, so soft attack is more important than hard attack.
- Hard attack – The amount of damage you deal to armored divisions. Heavily armored divisions typically have up 65% hardness. The exact formula for damage done is:
- Net attack = (1-hardness)*soft attack + hardness*hard attack.
- Breakthrough – When attacking, this reduces the damage you take up to the enemy’s attack by a factor 4. Having more breakthrough than the enemy has attack has no effect. Only tanks have high breakthrough values.
- Defense – When defending, this reduces the damage you take up to the enemy’s attack by a factor 4. Works like breakthrough, but for the defender’s side. Infantry has a high defense value.
- Combat width – Determines how many units can fight in a battle at once. The maximum combat width is determined by the terrain you’re fighting on. When combat width is exceeded, your units receive a small penalty to soft attack and breakthrough/defense.
- Armor – When your armor is higher than the enemy’s piercing, you deal +50% organization damage and get -50% organization taken. When the enemy’s piercing goes to 75% of your armor the aforementioned bonuses will scale down linearly to +0% organization damage and -0% organization damage taken. (This ‘partial piercing’ mechanic is currently broken, piercing currently works binary and is yet to be fixed!) The armor of a division is calculated as 30% of the highest armored battalion plus 70% of all divisions’ average armor.
- Piercing – See armor. The piercing of a division is calculated as 40% of the highest battalion piercing plus 30% of all divisions’ average piercing.
- Air attack – Reduces the damage you take from enemy Close Air Support (CAS) by up to 75%, and shoots down enemy CAS attacking your division. The maximum damage reduction is already achieved at 10.7 air attack, so putting in 1 Anti-air support company (15.2 Air attack) will do the job.
- Entrenchment – Increases max. Entrenchment, which grants 2% to defense and soft attack for every 1 point of entrenchment. Moving a division removes this bonus. When a unit is standing still in a province, entrenchment builds up slowly up to the maximum entrenchment.
- Coordination (Hidden stat) – Increases the ‘focusing’ of all your divisions on a single enemy division. Having high coordination will quickly overwhelm the targeted enemy division, forcing them to retreat. Is increased by signal company.
- Initiative – Slightly increases the speed of battle planning. Also slightly increases reinforcement rate and coordination. Out of these three, coordination is the most important stat (and only buffed slightly), so initiative is typically not very useful.
Equipment Cost
The rightmost tab summarizes the equipment that is needed to field a division. Manpower is drained from your manpower pool, and equipment is taken from your equipment stockpile.

Speed Guide
The “max Speed” is just the base speed of a division; when travelling, this number is typically lower due to various modifiers.

First, every terrain type has their own “movement cost” modifier. This means that even though a distance on the map might look small ‘as the crow goes’, in reality the traveled distance is much greater.
Second: Weather, rivers, being low on ORG, low supply, low infrastructure all lower your division speed, whereas Recon company, Engineer company, Mobile Warfare, advisors, increase division speed, all additively. Battalions can either give a positive or negative movement modifier. These modifiers often matter more than the base speed of a division!

It turns out that recon can be a little bit more than ‘just 10%’. If you have some particularly bad total penalties like -80% so you only move at 20% speed, adding +10% to that is adding
- +50% more speed than you had before.
- – CorpseFool
The minimum speed at which your divisions travel is capped at 1 km/h.
Reliability
Reliability is quite important. It affects equipment losses due to attrition and also reduces your movement speed when walking through various terrain types. For tanks divisions, you’ll even recapture (‘repair’) some of the tanks you’ve lost during combat! Therefore, we would like to keep our reliability high. The reliability of infantry equipment and support equipment cannot be changed, but some equipment types such as tanks have customizable reliability, This chapter will focus on the importance of reliability.
Plane Attrition
This section was recently updated, using this post[forum.paradoxplaza.com] as a reference.
Weather Effects
The clear weather base loss rate is determined by Air Accident Chance (5%). This actual loss rate is given by Air Accident chance (5%) + weather modifier.
Weather modifiers are as follows:
- No weather +0% (Total: 5%)
- Rain +10% (Total: 15%)
- Storm +30% (Total: 35%)
- Snow +10% (Total: 15%)
- Blizzard: +30% (Total: +35%)
- Sandstorm: +60% (Total: +65%)

Weather significantly amplifies the loss rate of aircraft. Currently, all airplanes have 80% reliability.
Losses to air-to-air combat will typically be much higher than losses due to attrition, unless there is bad weather. There is unfortunately no option to prevent planes from doing sorties during bad weather, so following this advice is not really possible in practice.
Division Attrition
Even when your troops are not fighting, they can still suffer from attrition. This represents the real-life difficulties when fighting in rough weather, having nothing to eat, or having no ammo left. Your units suffer from attrition when;
- Not having enough supply
- Moving to an allied or enemy province in bad weather or bad terrain.
- Attacking an enemy province in bad weather or bad terrain.
Not having enough supply can be easily fixed using air drops. Putting your transport planes over an air region with insufficient supply clears your supply problems overnight. For major nations, putting 2 factories on transport planes is typically enough.
To prevent terrain and weather attrition damage, make sure to supply your troops and don’t attack during snow storms or a province covered in mud. Avoid attacking into mountains, deserts, jungle and marshes if possible.
The equation for calculating attrition losses can be found on the wiki: https://hoi4.paradoxwikis.com/Attrition_and_accidents



The conclusion to draw from these graphs is that attrition effects are very significant, especially for equipment of which the number per division is low. The data presented above can be neatly summarized below. The conclusion from this is that for equipment type with customizable reliability (tanks), sometimes the reliability does not matter when the number of equipment type is low, as you will take the minimum amount of losses anyway. For example, a light flame tank company only requires 30% reliability, since it only requires 15 light flame tanks.

- The recommended amount of reliability to minimize attrition losses.
- The equation is: required_reliability = 1-10/(required_equipment), as from the wiki. Due to rounding, the actual graph is slightly different; this graph will be updated later
Reliability really does add up: Consider a tank division with 500 Medium Tanks. A division has a reliability of 60% loses 20x as much equipment to attrition as 98% reliability Medium Tanks! This means a division with high reliability equipment is virtually immune to attrition. As a rule of thumb, give your tanks 80% or more reliability.
Supply & Fuel
Fuel
Units that require fuel consume fuel when moving. When in range of supply (see next section), fuel automatically gets refilled. Transport planes do not provide fuel. When out of fuel, your units lose 90% (!!) of their combat stats and suffer from -40% speed. Non-motorized divisions do not suffer from fuel penalties. Keep in mind that army fuel usage is quite significant.
Supply
Having adequate supply is vital to keeping your units happy. Without sufficient supply, your units will suffer from:
- Attrition
- Decreased movement speed
- Decreased soft attack, hard attack, breakthrough and defense.

Supply emanates outwards from your supply hubs. The further a province is from a supply hub, the lower supply it receives and passes to the units standing on that province. Supply is also provided by local infrastructure and population (large cities), but their contribution to supply is quite small.
Supply hubs only provide supply when connected to your capital; connection can be established via harbors or railroads. On land, railroads take some time to repair, which punishes players who advance too far into enemy territory too quickly. A good workaround to this is using air drops for extra supplies.
Supply is easy to manage;
- Put your marshals on ‘supply by truck’
- Use transport planes for air drops.
- Have enough trucks and trains available.
- Armored trains don’t take any damage from enemy Logistics Strike.

Make sure to have enough trucks and trains in supply by hovering over the supply icon.

Click this icon to have your armies be supplied by trucks instead of horses.
Battalion Types
There are many battalion types in the game. In this section, we’ll list the most-used types.
Infantry – The most used battalion in the game, which is also the cheapest battalion. Infantry is best used to halt the line against enemy attacks, since they have decent soft attack and defense for their cost. In addition, they add a lot of HP to your divisions, making them very durable. Due to their low breakthrough, they are ill-suited for attacking.
Artillery – Artillery can be found in all kinds of divisions. Artillery has a very high soft attack value, but low values in all other categories.
Rocket Artillery – Virtually identical to artillery, but is unlocked later in the game (1940).
Cavalry – Faster than infantry, but uses much more supply and is a bit more expensive. Their only strength lies in high suppression. Use these only for garrison battalions!
Motorized Infantry – Virtually identical to infantry, but 3x as expensive and uses fuel. Contrary to infantry, it has high breakthrough compared to infantry, making them better at attacking than infantry. In addition, Motorized infantry has a high maximum speed (12 km/h), making them perfect for performing encirclements. Note that these do use fuel; having too many of them will run your fuel supply dry!
Motorized Artillery – Same stats as artillery, but has a high max speed (12 km/h).
(Medium) Tank – Due to the tank designer introduced in the No Step Back DLC, tanks can be designed however you wish, and the role of tanks can vary widely. In general, tanks have high armor and breakthrough, making them excellent at offensive operations.
Tank destroyer (TD) – Tank destroyers function to add both piercing and armor to your division.
There are plenty of other division types available, but these are in general not worth getting or too niche to see any use. An honorable mention is paratroopers; when dropped on enemy supply hubs, these can cut off supply for a while, weakening their front line.
Support Companies Tier List
You can add up to 5 support companies to a division. Support companies are typically very cheap and provide strong bonuses to your divisions.

Tierlist as created by Cloak71.
- Support Artillery: Very cheap and gives a good amount of soft attack, and does not use any combat width. Include these in any division type.
- Support Rocket Artillery: Gives the same bonuses as artillery company, but is unlocked very late in the game.
- Engineer company: Not too expensive and gives a wide range of bonuses to attack on various types of terrain, movement speed and most importantly, 5 entrenchment.
- Anti-air company: A single Anti-air company can reduce incoming CAS damage by up to 75%! Very strong when the air area you’re fighting in is contested or hostile. Quite cheap.
- Medium Flame tank company: Increases your soft attack and breakthrough when attacking in various types of terrain, while being quite cheap. Always add them to your offensive divisions.
- Support Anti-tank: Adds enough piercing to your division to counter an enemy armored division.
- Maintenance company: Increases reliability of ALL equipment by 5%, by an additional 5% with the 1939 technology. Effectively reduces Infantry equipment losses due to attrition by a factor of 10 in 1939 (90% reliability->99% reliability), or a factor of 2 for trucks (80% -> 88% reliability) Note that this works best for equipment your division requires a lot of, like trucks and infantry equipment. Very strong when facing lots of attrition, especially on equipment with high base reliability (e.g., infantry equipment).
- Recon companies: Adds +1 (cavalry recon), +1.5 (motorized recon), or +2 (armored car recon) to your division. Also adds +10% speed on virtually all terrain types to your batallion. Note that the cavalry recon company is much cheaper than the other options. Unfortunately Recon doesn’t seem to affect combat results.
- Logistics company: Causes your units to use -20% supply and -10% fuel (in 1939). Can be added to offensive divisions, since tanks use lots of supply and fuel.
- Field hospital: Grants +20% trickleback and -10% experience loss. Very expensive for its effect. Major nations have enough manpower to not need this, and minor nations would want this to conserve manpower, but for them it’s too expensive.
- Signal company: Grants initiative, which is a useless stat, except for very slightly increasing coordination.
- Military police: Grants +20% suppression. Pays back for itself garrison divisions with 5 cavalry or more.
Are Signal Company and Recon Company Worth It?
To test out the effects of including a signal company/recon company, some tests were performed by letting Germany attack Poland (how appropriate!).



Losses are given in manpower (K). Note that manpower losses are proportional to equipment losses; losing half your manpower also means you lose half your equipment for a division.
As can be seen from the graph above, without any doctrines, losses stay the same with and without a Recon Company. When both Germany and Poland have researched Mobile Warfare and Superior Firepower respectively, losses taken by the attacker increase and the defender’s losses decrease. This implies that it is actually disadvantageous to use this recon company when attacking. This is due to the fact that support companies lower organization, causing attacking divisions to drop out earlier.

The story changes when the defender obtains a recon advantage; the losses taken by the attacker slightly increase by 10-20%. This means that having high recon helps the more at defending than attacking. This could be caused by the fact that offensive strategies have more counters than defensive strategies.

Signal company should in theory give a small boost to coordination, but this effect is not noticeable when fighting against sufficiently large divisions. The same happens as with recon company; lower org leads to higher losses. Signal company actively reduces your division’s strength.
Conclusion: Never use recon company and signal company.
Railway Guns & Shore Bombardment
Decreasing enemy stats is quite simple; a fleet on ‘hold’ command (or the ‘naval support’ mission) will fire at enemy divisions fighting on a coastal tile, giving them a up to -25% debuff to soft/hard attack and breakthrough/defense in combat.
Similarly, a railway gun will also bombard enemy troops, but from a train. It will affect every enemy division in its radius, giving a -10% (-15%, using the ‘Elevated Engineering Corps’ Spirit of the Army) debuff in soft/hard attack and breakthrough/defense to enemies.
The easiest way to use railway guns is to attach them to an army; they will follow that army anywhere they go. They are a cost-effective investment for major nations, but smaller countries should invest in building more divisions first.

Assign your railway gun by selecting it, then clicking this button.

A railway gun in action.
Combat Width (Theory)
TLDR; use divisions with a CW of ~18-21 for infantry, 10 for garrison duty and 30 CW for tanks.
With the No Step Back DLC, the optimal division combat width depends on the terrain you’re fighting on, since you receive penalties when going over the maximum combat width. Since your units will be fighting on many types of terrain, we have to find a compromise between fitting in the combat width and a division’s IC cost. Units smaller than 10 width receive a combat penalty, so we will not consider divisions smaller than this size. Smaller divisions are also more prone to being ‘focused down’ due to the coordination mechanic, which also decreases small divisions’ strength.
Summarizing, optimizing your divisions’ combat width will depend on both how well your units fit in the terrain, along with their cost per combat width.

Combat widths per terrain type. Each side you’re attacking from increases the combat width.
Optimizing Combat Width
TLDR; Every CW has roughly the same CW penalty. Look at the graph to find a local optimum, but it doesn’t matter that much.
Going over the maximum combat width gives an attack penalty. The exact formula for combat width is given on the wiki: https://hoi4.paradoxwikis.com/Land_battle.
I have created a handy tool to calculate the ‘combat effectiveness’ fighting in various terrains by multiplying the total attack of your divisions by the combat penalty they receive. The ‘overstack penalty’ is also included, and the province type and number of attacking provinces is accounted for and can be changed manually. The link to this simulator is found in the download section.

This graph shows what the optimal combat width is for fighting in plains. You can clearly see 15 and 45 sticking out, which both fit perfectly in multiples of 45. Note that divisions smaller than 10 suffer from the overstack penalty.

Giving each terrain type equal weight, this is the resulting graph. There is a local optimum at 27, 34 and 44.
What is Better: Large or Small Divisions?
Pros of small divisions :
- Very high ORG per combat width.
Cons of small divisions:
- Support companies make up a large part of its cost.
- Needs lots of generals.
- Takes more losses due to coordination mechanic. (see ‘defense’ and ‘breakthrough’). These losses also reduce XP gain.
Pros of large divisions:
- Doesn’t require many generals.
- Takes fewer losses due to coordination not affecting this division much.
- Support companies are relatively cheap.
Cons of large divisions:
- Very low ORG per combat width.
To weigh the advantages of small divisions VS. large divisions, the following test was performed.
The small division has a CW of 10, the large division a CW of 30.



From the graph above, we conclude that even though Poland produces better combat results wins both when attacking and defending; their losses are much greater when attacking. Furthermore, their greater losses reduce their veterancy; they lose XP when attacking, whereas the German units gain XP even when attacking. Note that the only difference between the attacking and defending side is that the defending side has the bonus of entrenchment, which makes then a bit stronger.
You might ask: how can these results be explained? As said before, due to coordination, the smallest division gets focused down first. Once the first (small) division falls, Poland has fewer combat width in use, decreasing their total damage. For Germany, this happens too, but much later on since for them, 1 division getting focused down is still 1/3rd of their total combat width, whereas Poland gets 1/9th of their combat width focused at.
In addition, HP of a division is also important. Small divisions have low HP, which means their damage output significantly decreases during combat, since ORG losses are the same as strength (HP) losses in combat. This means small divisions deal relatively little damage compared to the damage they take.
CLarge (e.g. 30W) divisions should be used for attacking as they require more support companies. (Support companies become more effective for larger divisions.) Smaller divisions are better at holding the front line than large divisions.
Division Design (Theory)
Terrain Modifiers
When designing a division, it is important to keep combat modifiers in mind. All units have similar defense modifiers, but combat modifier values differ significantly for attacking. This is an additive bonus on top of the standard terrain modifier. E.g. Mountaineers with +30% attack in mountains receive a -50% + 30% = -20% combat penalty (to soft/hard attack and breakthrough) when fighting in mountains. However, you also want to use tanks when attacking for their high breakthrough, which do not have good mountain terrain modifiers. In practice, there are no good divisions for attacking in mountains. For river crossings and marches, you should use Amphibious Tanks.

This division has a 33.3% bonus attack over rivers.
Calculations on Infantry to Artillery Ratio
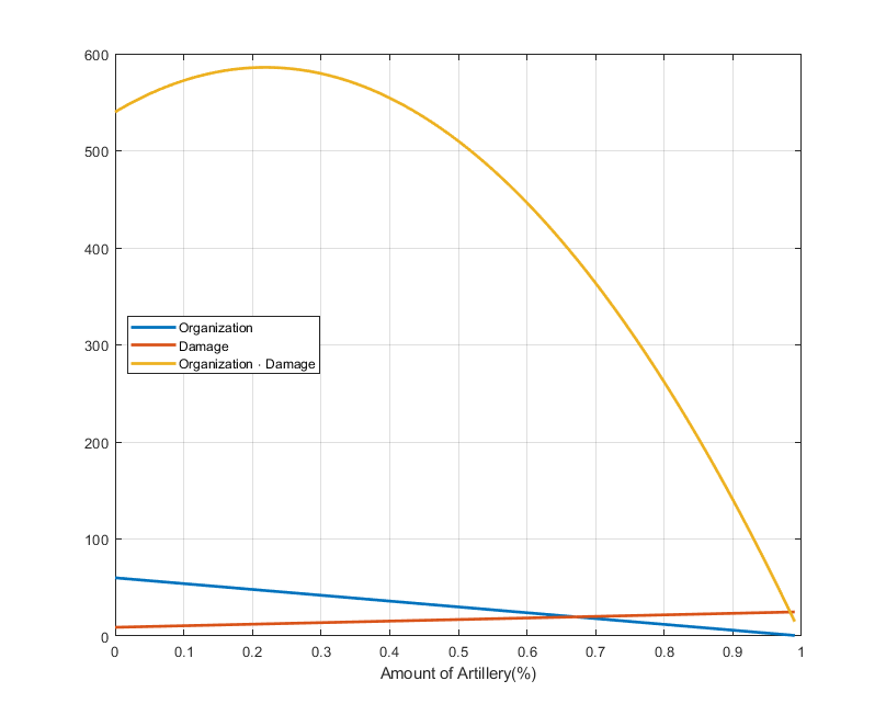
For infantry divisions, we are mainly looking at soft attack and organization. Infantry has very high defense already, so maximizing soft attack/organization is the most important.

This graph tells that 22% of the divisions should be artillery and the rest infantry, disregarding damage dealt by CAS and support companies. Note that: combat strength= org*damage : Double the org results in double the strength, and the same logic applies to doubling soft attack.
We can conclude from this graph that it is best to put some artillery in your divisions, but not too much. Note that when there is a lot of CAS (which deals direct ORG damage), infantry becomes superior to artillery, since you will need org to survive CAS bombings. Turned around, when you CAS bomb the enemy, you’ll also need more org, as this allows you to stay in battle for longer, letting CAS deal more damage. In addition, support companies also lower your ORG, so this also lowers the ideal artillery/infantry ratio.
For optimal combat power, less than 22% of your divisions should be artillery. 4 Infantry and 1 artillery gives an artillery ratio of 20%. So as a rule of thumb:
- For every 4 infantry, include 1 artillery.
There is also a rule of thumb for tank divisions:
- For tanks, the keep ORG above 30.
Best Combat Width for Infantry
Using the calculator for optimum combat width (see Downloads), we find that for Eastern Poland, Plains: 17, Forest: 25, Marsh: 11, Urban: 3 provinces.
Putting this in the combat width simulator yields the following graph:

Optimal combat width in Eastern Poland.
We want the division to be as large as possible to ensure cost-effectiveness and reduce losses; however, smaller divisions can stay in combat longer due to their high org. This is tradeoff that has to be considered: cost-effectiveness VS fighting capability. This means the optimal combat width depends on where you want to place this tradeoff. As of writing this, most players opt for a division width around 25 Combat width (with Artillery, Engineers and AA), OR a 10 Combat width (with support artillery).
For support divisions, we will want:
- Artillery support: It does not use combat width, is cheap and provides lots of soft attack.
- Engineer Company: Provides numerous combat bonuses.
- Anti-air: Reduces air damage taken by 75%.
- Anti-tank (mounted on a tank battaalion): Only when the enemy has tank divisions.
Keep in mind that due to support companies, smaller divisions are less cost-effective due to a large part of their budget going to support companies.
Infantry Division Designs Tips
- In general, small combat width divisions take larger HP losses than large combat width divisions relative to the damage they deal, partly due to the coordination mechanic but mostly due to the fact that they take a relative high amount of HP damage they take compared to the damage they deal.
- Note that it is impractical to manage many tiny divisions under one general (which only holds 24 divisions). However, they are fantastic for holding off naval invasions and holding the front line.
- Offensive (tank) divisions should be made with a large combat width (27W), to be able to include support companies without lowering ORG too much.
Aircraft Design (Theory)
Fighter Design
Fighter Aircraft have 3 purposes;
- Granting Air Superiority.
- Disrupting enemy support planes (and protect allied support planes)
- Killing enemy planes efficiently.
Cheap planes fulfill the first 2 goals, but are not good at killing enemy planes efficiently; both cost and K/D ratio matters for cost-efficiency.

Testing methodology: Let 100 planes fight enemy planes of equal total cost. The only requirement is that every fighter has a minimum range of 850km.
The way combat is resolved is quite complicated (see wiki), so tests were performed to find the best design. In general, you want a healthy balance of Air Attack, Air Defense and Agility, while having a good range.
Many designs were tested, e.g: Small Airframe with Heavy Cannons, Medium Airframe with Heavy Machine gun, with armor, without armor, etc. The optimal fighter design can be found in the Aircraft Design section. Let me know if you can find a design that beats the current one!
CAS Design
A good CAS-plane aims at maximizing:
- Land Combat Damage per plane
- Land Combat Damage per cost
Only a limited number of planes can join land combat, so you want the damage output per plane to be as high as possible! This is achieved by using the Medium frame, since this airframe has 4 bomb slots available to be used. However, damage/IC is typically maximized when using a small airframe.
Reducing CAS losses
A few enemy fighters will always slip through your fighters and kill some of your support planes. Assuming all allied planes are equally visible, the number of CAS targeted by enemy fighters is determined by the proportion of CAS compared to the total amount of allied planes. This means it’s impossible to prevent allied CAS from being shot down. To reduce the amount of CAS lost to air combat, the best stat (agility is typically 1 due to ground attack weapons) to increase is Air Defense: The amount of planes lost scales directly with: Planes lost ~ 1/(Air Defense).
This means that doubling the defense will halve the amount of planes lost. Max. Speed and Agility also reduce losses, but these are difficult to increase for CAS planes: Increasing defense via modules is much easier.
Decreasing disruption of your CAS
Speed, attack and defense reduce the enemies’ disruption of your CAS missions; however, if you find your planes are getting disrupted frequently, you should build more fighters, as these counteract disruption much more efficiently than the CAS themselves.
Why is Air Important in Hoi4?
CAS bonuses:
CAS is essential to win wars.
- CAS deals damage directly to enemy divisions in combat.
- CAS gives your divisions a up to 25% bonus to attack and defense/breakthrough.
Air superiority bonuses:
Having planes in the air increases your ‘air superiority’. Most planes provide 1 point of air superiority, with some exceptions.
- Up to -35% defense/breakthrough to enemy divisions.
- Up to -30% movement speed to enemy divisions.
These penalties depend on the number of both friendly and enemy planes. These penalties are reduced in certain terrain types (much like direct CAS damage also has reduced damage in some terrain types).

The air superiority penalty depends on the % of Air Superiority you have: 25% air superiority (red air) means 17.5% Air Penalty to you. Only 121 planes are needed to achieve 35% superiority (if the enemy has no planes).
CAS is vulnerable to being disrupted and shot down by fighter planes. To keep your airspace safe, you’ll need to build fighters, which hunt for enemy fighter planes and shoot down enemy CAS. In general, you’ll want as many factories on planes as you can, since the direct damage dealt by CAS (both to ORG and HP) is extremely high.
How many Fighters do I need?
You’ll generally want enough fighters to disrupt all enemy support planes and prevent all disruption happening to your own planes. As a rule of thumb, you’ll need at least 1.5 times as many fighters as the enemy to fully disrupt. If you start out with fewer fighters than the enemy, don’t worry: a good fighter design will ensure you gaining air superiority in the long run!
Radar
Radar gives you more air detection, which directly increases the damage dealt by your planes. Air detection also increases disruption of enemy bombers! Therefore, build enough radar such that you have (full) radar coverage over the air zone you’re fighting in.
Other Plane Types
Besides CAS and fighters, other plane types exist.
- Naval bomber/Patrol: Bomb and kill enemy ships (much more cost-effective than building your own ships!).
- Heavy fighter: These typically have more range and damage than fighters.
- Tactical bomber: Can be outfitted for any role, but is best used as CAS.
- Strategic bomber: Destroys enemy buildings, e.g. military factories. For an effective bombing campaign, you’ll need at least 1000 of them, as the auto-repair of buildings can be too great to overcome.
- Scout plane: Provides intel on enemy troop compositions. Since intel is are not that good, don’t bother building them.
- Transport plane: Deploys paratroopers and drops supplies. Very important when pushing into an area where supply hubs are far apart. Putting 2 factories on transport planes should be sufficient for your logistical needs.
Air Missions
Airplanes can perform a variety of missions. When multiple missions are selected, missions are performed from left to right, i.e. Close Air Support is performed before Logistics strike.
- Pilot exercises. Trains your pilots, increasing the stats of the planes in the air wing, at the cost of some accident losses and fuel usage. Only do this if you have plenty of fuel, when not at war.
- Air superiority. Engages enemy fighters and shoots down enemy CAS/bombers.
- Close Air Support. Deals damage to enemy divisions on the ground.
- Interception. Similar to air superiority, but does not engage enemy fighters and stays on the ground if no enemy bombers are active.
- Strategic bombing. Bombs enemy buildings to cripple their industry.
- Naval strike. Bombs enemy ships. Very cost-effective way of killing the enemy navy.
- Port strike. Has to be performed in the land area on which the port lies. Destroys ships that lie in port.
- Naval Patrol. Searches for enemy fleets.
- Logistics strike. Destroys enemy trains and supply trucks. Eventually, this will cause enemy units to have insufficient supply and suffer from attrition.
- Air supply. Drops supply from the air to units without supply, preventing attrition to your units.
Tank Design (Theory)
Tanks got reworked as of 12-06-2022! Tanks are much better now; section will be updated as soon as possible. Armor stacking seems to be an excellent strategy now.
How much piercing do I need?
The amount of piercing you need depends on the quality of enemy armored divisions: you want your piercing to be higher than the enemy armor. At the same time, make sure your armor is ideally 2x the enemy’s piercing source The AI’s divisions are poorly designed; including an Anti-tank support company in your division will be enough to pierce those divisions. For multiplayer, players will build higher quality tanks and including anti-tank will not work.
Encirclements

To truly excel at Blitzkrieg, use tanks to break through the enemy lines, then use small motorized divisions (e.g. 14W) to take over undefended provinces and defend them, eventually encircling the enemy army and destroying it (‘Kesselschlacht’). This is the most common strategy to destroy a large part of the enemy army.
Alternatively, you can try to ‘overrun’ enemy troops. When you enter an enemy province a unit is retreating to, that unit gets destroyed. Overrunning is best achieved by lowering enemy movement speed (having high air superiority) and having high movement speed yourself. This typically only works against a weak enemy.
General notes
- Even though tank divisions are excellent are attacking, you will want to spend the majority of your production capacity on planes, since without planes any offensive will be hard to execute.
- Light tanks have virtually no armor and a low cost. Medium tanks have good armor and low cost. Heavy tanks are similar to mediums, but have low speed, the same armor and higher breakthrough, but very high base cost. Medium tanks typically offer the best of both worlds.
- Aim for 30 ORG or higher when designing your tank divisions.
- Breakthrough only needs to be as high as enemy soft attack (per combat width). Excess breakthrough is useless, but luckily breakthrough is a cheap stat.
- Maintenance company (1939 upgrade) adds 10% to the equipment’s reliability, e.g. 90% -> 99%. Make sure your tanks have at least 80% reliability, preferably 90%.
- Tanks have a high supply usage, logistics company reduces their supply usage significantly. Especially important in Multiplayer where front lines have many units in them.
- Amphibious tanks have terrible armor, which makes them unusable. However, normal tanks with amphibious drive are excellent, as have the same armor and also bonuses for attacking over rivers.
Hoi4: Tank Designs
- Tanks are very expensive, build planes first. Pushing with infantry and CAS often works against a weak enemy. Only start building tanks when you have achieved full air superiority!
- Tank designs before 1940 are not included; their design should be similar to the designs listed below. Design tip: maximize soft attack and breakthrough.
- Heavy tanks are much more expensive than Medium Tanks, and suffer from very harsh combat penalties in many terrain types. They have become even worse after the piercing buff.
Therefore, they are not included here.
Main Battle Tanks
Brick (1936)

This design is used in so-called ‘space marine’ divisions. They are very cheap and their only function is to add armor to infantry divisions at a low cost. Very good in Single Player.
Medium Tank (1940)

This design chooses not to stack the maximum amount of armor, to make it significantly cheaper. Soft Attack, Breakthrough and Reliability (in that order) are optimized and speed is 8 km/h to match the speed of mechanized equipment. 80% reliability increases to 88% reliability using a maintenance support company, creating a tank with very low attrition losses.
Why riveted armor?
Riveted armor makes the design much cheaper. More importantly and armor isn’t as strong as before due to the introduction of partial piercing.
Why no Hard Attack?
You will be fighting almost exclusively infantry, which have 0% hardness. Even tank divisions have a hardness of only 50% early in the game. However, late-game tank divisions will have mechanized in them, which makes hard attack more important against tank divisions.
Easy maintenance decreases production cost and also increases reliability. However, it also costs 30 xp to include, so you could go for ‘wet ammunition storage’ instead.
Medium Tank Destroyer (1940)

This design aims at maximizing piercing and armor. It is recommended to make a copy (‘save as new’) of the medium tank, then convert it into this design to make the invested army xp much lower.
Division Piercing = 0.4*highest piercing+0.6 avg. piercing)
This is why you need at least 1 batallion with high piercing!
Division Armor = 0.4*highest armor+0.6 avg. armor)
This is why you need at least 1 batallion with high armor!
Other Tank Types
Medium Flame Tank (1939)

This flame tank is designed to as cheap as possible, since its stats gets massively reduced (%) being a support flame tank. The 1938 hull is used since it’s cheaper. The speed of this flame tank was increased to 8 km/h to match mechanized equipment.
Optional: Add a dozer blade which increases (max) entrenchment by 1. However, enemies typically won’t attack a fully entrenched tank company anyways; increasing the maximum by 1 will not change that much!
Mechanized (1940)

Redesign to cut the cost of mechanized equipment in half!
Medium Amphibious Tank (1941)

- Medium Amphibious Tanks have better terrain stats than normal Medium Tanks, so amphibious are objectively better than normal medium tanks.
- However, they are unlocked very late in the game (1941), so typically you don’t use them.
- Amphibious tanks combined with Amtracs will give you virtually no terrain (river/marsh/naval invasion) penalties.
Tank Designs for 1943 and Beyond
Games typically don’t last much longer beyond 1943, but when you do go into the real late-game, keep on upgrading your tanks!
Hoi4: Aircraft Designs

Use a designer and Air Spirit to accelerate your aircraft research speed!
Notes:
- You should upgrade the modules whenever possible. Make modifications where needed; e.g. ‘strategic materials’ can be useful if you lack aluminum.
- Since the (combination of) 1940 Small Airframe and 1940 Engines III are extremely strong, you should try to rush those technologies. The ‘Industry Liasons’ Spirit and the ‘Light aircraft designer’ should be used for increased research speed and agility bonuses!
- Various countries have focuses that grant research bonuses for e.g. CAS planes. These apply on the small airframe, since the small airframe is used as CAS. It is possible to have a 1940 plane at the start of 1939!
- Even though the medium airframe can be designed to have more CAS damage than small airframe CAS, it is much less cost-effective, so not recommended.
Fighter Aircraft
(Improved) 71Cloak’s design (1940)

This fighter design performs best of all fighter designs VS. other fighters (in terms of cost-effectiveness). Its high Air Attack also means that it is effective at killing any non-fighter plane. If you have lots of rubber, use the self-sealing fuel tanks instead of the armor plates.
Ancient Fighter (1938)

This fighter has been designed to actually be produced before WW2 hits. Its stats are MUCH worse than 1940 fighters, so be aware that they will get killed very easily once the enemy starts producing better planes.
CAS Aircraft
King of CAS (1940)

This design has very high Ground Attack, and relatively low IC cost. It dies very quickly, however; escort it with plenty of fighters! Consider replacing the by ‘Dive Brakes’ by Radio Navigation II’ for slightly more damage, but lower survivability.
Ancient CAS (1936)

This design can already be produced in 1936, but its stats are much worse than the 1940 CAS.
Naval Aircraft
Naval Bomber (1936)

Why build ships when you can build these? The best navy is consists of only planes!
- This design doesn’t improve much after 1936 (besides increased range), so that is why this ‘old’ design was given.
- This design’s primary advantage its high Naval Targeting, making it the most cost-effective naval bomber (Source).
Half of these should be put on naval strike, the other half on naval patrol for maximum damage output.
Later on,
- 1940: Use the Imrproved Small Airframe to add more range.
- 1941: Use the Air-Ground Radar (1941 tech) to improve surface detection to find ships a bit easier.
Carrier Naval Bomber (1936)

The only important stat for carrier naval bombers are naval attack and targeting, so use the cheapest design possible armed with a torpedo. Unfortunately, ‘dive brakes’ can’t be put on carrier naval bombers anymore. For optimal naval battle results, do NOT use carrier fighters (they have very low damage) and use only carrier naval bombers on your carriers. Source Youtube: https://www.youtube.com/watch?v=UrSkrbjhkO0
Strategic Bomber (1941)
Flying Fortress (1941)

Note: Strategic Bombers are only effective in large numbers (more than 1000), otherwise self-repair out-repairs your damage output.
All this bomber does is Strategic Bombing, with modules on it that amplify its night-time effectiveness, and an armor plate (optional) to make it take fewer losses.
Hoi4: By Blood Alone DLC Division Templates

Have you followed the flowchart before building tanks? Planes are more cost-effective than tanks!
Best Defensive Divisions Templates
Note: IC-cost, attack values etc. may differ due to various factors.
10W Port Garrison (1936)

This division’s main purpose is to hold their position as long as possible. A division width of 10 is chosen, since this is the smallest width at which the stacking penalty is nearly 0% (only -2% in plains). Enemies will have a tough time breaking through all the ORG this division offers. Its soft attack per combat width is excellent.
Support companies: Artillery, Anti-Air, Rocket Artillery (1940).
19W infantry (1936)

This design is wider than 10W Infantry; it inflicts more losses on the enemy than the 10W template due to the Engineer company when defending.
Other good combat widths for infantry are anywhere between 19 CW and 30 CW;
- Larger combat width divisions have less org per combat width, but will be more cost-effective. Anything in this range will work.
Support companies: Artillery, Anti-Air, Engineers, Rocket Artillery (add this after 1940).
‘Brick’ Space Marines (1936)

By incorporating just 1 ‘Brick’ Tank into your division, it gains enough armor to not be pierced by regular infantry. Extremely strong in Single Player, but in Multiplayer opponents can simply add Anti-Tank to counter this division.
Support companies: Artillery, Anti-Air, Engineers, Rocket Artillery (1940).
Best Offensive Divisions Templates
N.B. Defensive divisions can also be used for attacking, but will take heavy losses in the process.
Medium Tanks (1936)

This division will be your first offensive division. A mix of tanks and motorized is important to ensure you division has enough ORG and HP. Support companies include Medium Flame Tanks for the attack bonus, Engineer for a hefty defense bonus (tanks often have to defend after closing an encirclement). Anti-Air reduces CAS damage by 75%, Logistics reduces supply and fuel useage(takes longer to run out of fuel, important for encirclements). The last support company slot’s is debatable; some players leave the slot empty, others add recon or maintenance in this slot.
Replace the Motorized by Mechanized as soon as you’re able to!
Heavy Tanks (1940)

Only build this if you’re expecting heavy tank combat.
This division is an upgrade from the 1936 design. It pierces the 1936 design, and cannot be pierced itself until 1943. Heavy Tanks have quite some hefty attack penalties in various terrain types; Heavy Tanks are best in plains. In 1943, you can upgrade this design again, to pierce the 1940 version and be unpiercable to 1943 designs. The mechanized adds lots of hardness to this design, so this division will only take damage from other tanks and be virtually immune to infantry. Very good VS enemy tanks, but quite expensive.
Amphibious Tanks (1941)

From 1941 onwards you have access to the Amphibious Drive. This allows you to build Medium Amphibious Tanks, which are identical to normal Mediums except Amphibious Tanks are extremely good at attacking rivers, marches and amphibious landings, making them objectively stronger. Combine these with Amtracs (+makeshift bridges commander ability) and you’ll melt through the enemy river defense lines! More expensive than a normal Medium Tank division, but worth the price.
Garrison (offmap) Division
Cavalry is more efficient at suppression than infantry manpower-wise, and in addition slightly more cost-effective IC-wise (3 VS 3.3 IC per suppression). The combat width of this division does not matter. If you have a pure cavalry division empty of support companies, use that one. Else, create a new division, and put 1 cavalry in it as shown below. To do this, open any division via ‘edit’, click the arrow, then ‘create empty’. This way, this division will only cost 5 army XP.
The theoretically best design is 1 Military Police (MP) support company with 25 light tanks: these have lower manpower requirement per suppression point and take fewer casualties. Any light tank works, so bulid the cheapest design possible.
However, your army XP and IC is better spent on other things first! This design is in practice never worth it; if you have the IC for building light tanks, you typically also have enough manpower for cavalry.

A garrison division that costs only 5 army xp, use this in most of your games.

This garrison is the most cost-effective, giving +40% suppression (1939) due to MP. From 5 divisions onwards, MP becomes worth adding in terms of cost-effectiveness. Only upgrade your garrison division after finishing your doctrines! (or being very low on manpower)

Change garrison division here.
Hoi4: Doctrines, Spirits and Tactics
Important: Pick your spirits first, then your doctrines.
Army Doctrines
- Mobile warfare doctrine: This doctrine is fantastic if you’re going for tanks and motorized infantry. It gives tons of ORG and breakthrough to your tank divisions. However, the doctrine is defensively quite weak. Take the right branch, then the right branch. The first right branch gives access to the tactic ‘breakthrough’, by far the best tactic in the game!
- Superior Firepower doctrine: The most versatile and best doctrine, as it is great at both defense and offense. Gives heavy bonuses to support companies. Take the right branch, then the right side.
- Grand Battleplan doctrine: This tree is overall a bit weaker than superior firepower. However, the first icon of this tree is very strong; +10 entrenchment results in +20% stats when defending, which is when combined with %-entrenchment modifiers very strong. It also gives a good planning bonus. If playing on the defense (e.g. Soviets), grab the first icon of grand battleplan, then switch to superior firepower later. If you still decide to use this doctrine, go down the right side.
- Mass Assault Doctrine: This doctrine is outshined by Grand Battleplan early on and Superior Firepower later on. Its only use is for very niche strategies. You should never pick this.

Air Doctrines
- Strategic bombing: Provides large bonuses to strategic bombing, crippling enemy industry. Almost as good as operational integrity at shooting down enemy fighters.
- Battlefield support is arguably the best doctrine in single player due to the large bonuses it gives to CAS damage.
- Operational Integrity: Grants various bonuses to various air missions. Grants stats like agility and air detection, improving the K/D of your fighters. The best doctrine for shooting down enemy fighters.
Army Spirits

The best spirit for every category is indicated in red; multiple are ranked when limited by ideology or doctrine.
Spirit of the Academy
- Bold Attack
Spirit of the Army
- Relief of command (Democratic),
- Motorization drive (Mobile Warfare)
- Overwhelming firepower (Overwhelming Firepower)
- Quick improvisation. Don’t forget to use commander abilities!
- Professional Officer Corps, earns itself back after 350 army XP.
- Situational (if you need lots of PP): State Serves the Military (Fascist)
Spirit of Division Command
- Logistical Focus (Grand Battleplan)
- Maneuver Warfare (Mobile Warfare)
- Operational Reserves (Mass Assault)
- Smoke and Fire (Superior Firepower)
Bold Attack or Meticulous Preparation?
Bold attack is most of the time better than Meticulous Preparation since attack has an effect in high-supply areas, whereas logistics does not. Both give similar stats in damage output: Attack -> 2.5% attack increase. Logistics -> 2.56% extra in soldiers on frontline available (=2.56 extra attack available) -> Logistics gives the same damage output as attack. However, Logistics also gives extra ORG to frontline battalions, which makes it better in low-supply areas.
Air Spirits

The best spirit for every category is indicated in red.
Spirit of the Airforce
- Air Crew Surveys
Spirit of the Airforce Command
- Centralized Control
Tactics
Preffered tactics can be assigned to both generals and on a country-wide level, giving you higher chances of picking a specific tactic.
- Best offensive tactics (in order): Breakthrough, Suppressive barrage, Blitz.
- Best defensive tactics (in order): Backhand Blow, Elastic Defense, Overwhelming Fire.

Change the preferred tactic by clicking the icon next to the doctrine.
General Tips

- Shift-click on the ‘exercise’ button to let your troops train until they reach their maximum exercise level.
- Holding shift allows you to draw a smooth frontline for a field marshal, which prevents gaps from being created.
- 1 Anti-air decreases damage from CAS by 75%, so Anti-air is quite strong.
- Use the attrition graph to determine how much reliability your variant equipment needs.
- Given enough air support, even basic infantry can push through enemy lines.
- Flame tanks, support equipment, anti-air, anti-tank and tank destroyers are vulnerable to attrition due to their low quantities in divisions, so put extra factories on them to prevent shortages.
- Set all field marshals to ‘supply by truck’ (3 trucks icon): this increases the supply range of supply hubs dramatically for all units under that field marshal. Use transport planes to supply your troops advancing into enemy territory: railroads require quite some time to repair themselves.
- When in a stalemate, but you have superiority in the air, logistics strike will cripple enemy supply.
- Railway guns decrease enemy attack, defense and entrenchment. Though expensive, they can be well-worth the cost.
- Creating a variant of mechanized equipment can reduce its cost from 8 to 4 IC, halving its cost.
- Send an attaché to countries that are at war to receive 10% War Support, and 20% of their army xp gain.
- Use a Tank/Plane Designer Company to give your tank/plane extra stats (designer works even on tank/plane variants, even when the designer was hired after the base model had already been researched).
Thank you for taking your time to read this guide. If you have any questions or suggestions, do not hesitate to contact me!
Q&A Division Templates
- Q: Will 19W work against (20W, 40W, Tanks, etc.)?
- A: Since the Barbarossa update came out, targeting by divisions was changed, and combat width per terrain type was changed too. 40W have too little ORG (per combat width); do not build 40W divisions!
- Q: I can’t design tanks, why is that?
- A: You need the Barbarossa DLC to use the tank designer.
- Q: I’m playing a small country, what do I produce?
- A: Focus on producing guns and artillery. Use e.g. the 19W Infantry Template. Add Engineers last (or skip them), since these are the most expensive and least bang for your buck.
- Q: When do I stop building Civilian Factories and start building Military Factories for the highest total factory output?
- A: This is different for every country; for e.g. Germany, it’s best to start building Mils already in January 1938. As a rough rule of thumb: Around 2 years before war breaks out. Of course, the timing depends heavily on your situation!
- Q: Planes from 1940 onwards perform much better than earlier designs; should I only build planes after I’ve unlocked the 1940 tech?
- A: Even though Fighters and CAS are much worse before 1940 tech, you should still produce earlier designs; having bad planes is better than having no planes!
Changelog
Version history:
- 13-01-2022: Updated infantry designs by adding a 28W infantry division. There is now a clearer distinction between expensive, typical and cheap infantry divisions.
- 25-01-2022: Removed ‘Elite Defender’ template, since it is too expensive and takes too much HP losses compared to its damage output. Also updated the reasoning behind division designs regarding their HP/soft attack ratio.
- 26-01-2022: Updated the guide for the upcoming ‘tank rebalance’ patch using the open beta. All tank designs and tank/motorized divisions reworked.
- 04-02-2022: Created new motorized division templates, flame tanks are now even cheaper due to a new patch. Introduced equipment tags for using fast designs. Also included a section on Army and Air doctrines.
- 08-02-2022: Updated some divisions to include armored recon company.
- 08-02-2022: All divisions updated, deleted some obsolete tank templates. Added tank designs for 1940 and 1941, a division template for amtracs, and expanded general tips.
- 16-02-2022: Removed airplane reliability, as the formula used was incorrect. I’ll try to update this as soon as I’m able to.
- 18-02-2022: Recalculated the air attrition section: Thank you ‘High pH’ for noticing the error!
- 21-02-2022: Expanded the Doctrines, spirits and tactics section.
- 13-03-2022: Updated tank division templates to have AA as division, to make room for logistics. Thanks to @MrGTout!
- 19-03-2022: Removed some templates, added Attack Infantry and Motorized (light tanks OP!), minor adjustments to various sections.
- 24-04-2022: Added a Q&A section.
- 16-06-2022: Tanks got reworked; tank designs got updated and division templates got updated too.
- 04-07-2022: Expanded air section, added Railway guns.
- 09-10-2022: Lots of updates on Aircraft Designs.
- 14-10-2022: Minor changes to reliability section and garrison templates.
- 31-12-2022: Updated the tank templates to reflect the tank balance changes.

False there is too 90 training time for raw infantry, the are very week but as garnizon they are perfect.
In your weakness god will show up
You could have at least credited the original author, Akfiz.
I’m not against taking my guide and posting it someone else, on the contrary, the more people learn from it the better, but I’m just dissapointed that you didn’t mention me.
We apologize for the mistake. Corrected
Nice!
In the meantime, I made an update to the guide:
https://steamcommunity.com/sharedfiles/filedetails/?id=1741169150
Adding extra information about how tank divisions work, why they are effective, how garrissons, sea and air work. You can update the guide here if you wish.
Updated thanks Akfiz.
You could have also mentioned some of the options of advisors and the pp modifications and companies, as those also can increase speed, reduce attrition, or increase reliability